首页
关于我们
企业介绍
发展历程
领军人物
研发力量
所获荣誉
产品中心
五倍子系列
罗汉果系列产品
姜黄系列产品
苦橙系列产品
槐米系列产品
其他系列产品
产品应用
在食品中的应用
在饲料中的应用
在工业抗氧化剂中的应用
在金属冶炼中的应用
在医药、新材料中的应用
在其它方面的应用
品质管理
原料种植
先进设备
资质认证
新闻中心
联系我们
招贤纳士
业务联系
我们以五倍子、罗汉果、黄姜、苦橙、槐米等植物为原料进行精深加工,产品大量出口美国、欧盟、日本及东南亚等国家。
● 五倍子系列产品
● 罗汉果系列产品
● 姜黄系列产品
● 苦橙系列产品
● 槐米系列产品
● 其他系列产品
所属分类:
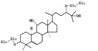
品名:罗汉果提取物
中文别名:罗汉果甜苷
CAS号:88901-36-4
分子式:C60H102O29
分子量:1287.43
结构式:
性状:淡黄色至类白色粉末,有罗汉果香、味极甜(是蔗糖的数百倍甜度),热稳定性强,极易溶于水。
来源:罗汉果。
规格:食品级。
技术指标:详见质量分析单。
用途:作为甜味剂应用于食品(糕点、饮料、糖果、槟榔、果脯等)、保健品。
贮藏:密封贮存,存放在阴凉干燥处。
产品有效期:两年。
包装 :25kg/纸桶。
上一页
无
下一页
相关产品